HG care plafonează prețurile RCA a fost publicată. Polițele nu pot avea tarife peste cele maxime reglementate (documente)
HG care plafonează prețurile RCA a fost publicată. Polițele nu pot avea tarife peste cele maxime reglementate
09 Nov, 2016 02:35
ZIUA de Constanta
5596
Marime text
5596
Marime text
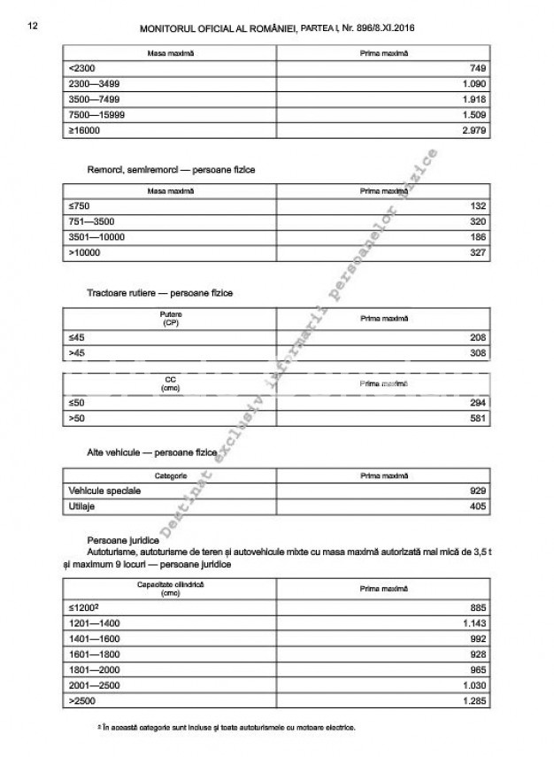
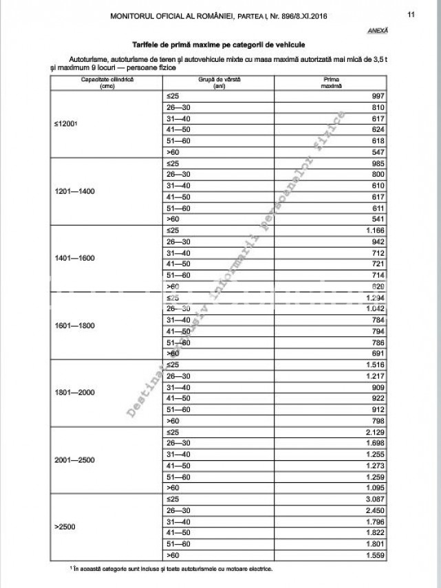
Actul normativ va intra în vigoare în zece zile iar de la intrarea în vigoare, pentru toate polițele noi încheiate, asiguratorii nu au voie sa practice tarife peste cele maxime reglementate prin acest act normativ, in caz contrar riscand amenzi intre 1.000 lei si 50.000 lei.
Tarifele maxime la RCA au fost aprobate prin Hotărârea Guvernului din data de 2 noiembrie anul acesta.
Urmareste-ne pe Grupul de Whatsapp
Comentarii
Fondul Documentar Dobrogea de ieri și de azi


