Abonaţi ai SC RAJA SA, avizaţi pentru debranşare
Abonaţi ai SC RAJA SA, avizaţi pentru debranşare
24 Feb, 2017 13:09
ZIUA de Constanta
3089
Marime text
3089
Marime text

Măsura cea mai eficientă pentru recuperarea debitelor de la abonaţii rău-platnici este debranşarea de la sistemul de alimentare cu apă potabilă.
În urma primirii avizelor de debranșare, majoritatea datornicilor, în doar câteva zile, îşi achită cea mai mare parte a restanţelor. În aceste condiţii, săptămânal sunt avizaţi sute de abonaţi cu restanţe, indiferent de statutul juridic al acestora. Datornicii pot rămâne fără apă potabilă dacă în termen de cinci zile de la avizare nu şi-au achitat restanţele.
Pentru a evita debranșarea, proprietarii de apartamente din cadrul asociațiilor avizate pot încheia convențiile de facturare individuală.
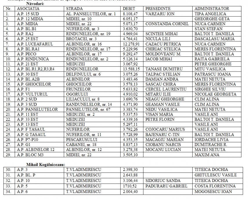
Pentru data de 28 februarie 2017, 34 de asociaţii de proprietari din Năvodari și Mihail Kogălniceanu au fost avizate pentru debranşare din cauza datoriilor de aproape 170.000 lei către S.C. RAJA S.A.
Urmareste-ne pe Grupul de Whatsapp
Comentarii
Fondul Documentar Dobrogea de ieri și de azi


